| Previous | Next | Index | RA-DEC | Zoom: On | 1 | 2 | 3 | 4 | 5 | 6 | 7 | 8 | 9 | 10 | 11 | 12 | 13 | 14 | 15 | 16 | 17 | 18 | 19 | 20 | 21 | 22 | 23 |
| NUMBER | Coordinates | Magnitude | Direct Image | 2D Grism Image | 1D Flux | 1D Corrected |
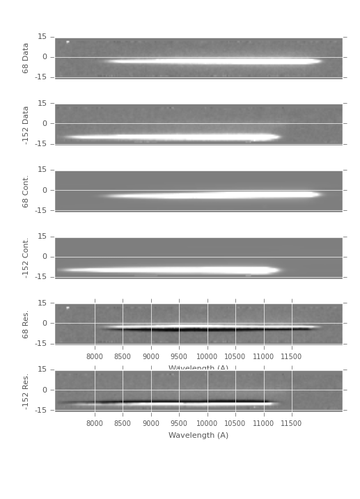
| 964 | 189.400024 62.302895 656.8 1218.7 (163.8) (725.7) |
22.06 | ![]() |
![]() |
![]() |
![]() |
| 783 | 189.421219 62.310848 1320.7 674.2 (827.7) (181.2) |
22.06 | ![]() |
![]() |
![]() |
![]() |
| 736 | 189.422058 62.313835 1291.8 594.6 (798.8) (101.6) |
22.09 | ![]() |
![]() |
![]() |
![]() |
| 587 | 189.357513 62.320595 1322.4 885.0 (829.4) (392.0) |
22.13 | ![]() |
![]() |
![]() |
![]() |
| 713 | 189.418457 62.314888 1236.4 590.2 (743.4) (97.2) |
22.13 | ![]() |
![]() |
![]() |
![]() |
| 927 | 189.403976 62.304020 667.4 1278.2 (174.4) (785.2) |
22.14 | ![]() |
![]() |
![]() |
![]() |
| 1005 | 189.321564 62.301277 291.4 1512.4 (-201.6) (1019.4) |
22.18 | ![]() |
![]() |
![]() |
![]() |
| 1352 | 189.357468 62.287346 454.3 542.0 (-38.7) (49.0) |
22.21 | ![]() |
![]() |
![]() |
![]() |
| 1083 | 189.398056 62.297562 526.9 1140.1 (33.9) (647.1) |
22.23 | ![]() |
![]() |
![]() |
![]() |
| 995 | 189.341248 62.301743 513.2 1382.5 (20.2) (889.5) |
22.24 | ![]() |
![]() |
![]() |
![]() |
| 489 | 189.390320 62.325760 1300.5 1336.1 (807.5) (843.1) |
22.28 | ![]() |
![]() |
![]() |
![]() |
| 1285 | 189.401550 62.289841 308.5 1103.0 (-184.5) (610.0) |
22.29 | ![]() |
![]() |
![]() |
![]() |
| 782 | 189.369843 62.310909 1010.5 934.8 (517.5) (441.8) |
22.29 | ![]() |
![]() |
![]() |
![]() |
| 969 | 189.419174 62.302856 564.3 1450.8 (71.3) (957.8) |
22.36 | ![]() |
![]() |
![]() |
![]() |
| 447 | 189.392868 62.326801 1315.5 1377.7 (822.5) (884.7) |
22.37 | ![]() |
![]() |
![]() |
![]() |
| 859 | 189.383926 62.307728 860.0 1073.0 (367.0) (580.0) |
22.4 | ![]() |
![]() |
![]() |
![]() |
| 743 | 189.414581 62.313183 856.0 1501.1 (363.0) (1008.1) |
22.41 | ![]() |
![]() |
![]() |
![]() |
| 456 | 189.350433 62.327526 285.9 685.1 (-207.1) (192.1) |
22.43 | ![]() |
![]() |
![]() |
![]() |
| 960 | 189.398010 62.303200 674.3 1197.5 (181.3) (704.5) |
22.45 | ![]() |
![]() |
![]() |
![]() |
| 1420 | 189.358994 62.285236 391.9 538.8 (-101.1) (45.8) |
22.5 | ![]() |
![]() |
![]() |
![]() |
| 799 | 189.335815 62.310440 337.8 1198.5 (-155.2) (705.5) |
22.51 | ![]() |
![]() |
![]() |
![]() |
| 1211 | 189.363785 62.293079 573.8 677.6 (80.8) (184.6) |
22.56 | ![]() |
![]() |
![]() |
![]() |
| 421 | 189.397415 62.329533 1365.2 1461.0 (872.2) (968.0) |
22.59 | ![]() |
![]() |
![]() |
![]() |
| 1366 | 189.387177 62.287018 303.5 899.4 (-189.5) (406.4) |
22.65 | ![]() |
![]() |
![]() |
![]() |
| 483 | 189.382339 62.326088 1347.2 1242.6 (854.2) (749.6) |
22.68 | ![]() |
![]() |
![]() |
![]() |
| 1169 | 189.423996 62.294605 325.7 1424.7 (-167.3) (931.7) |
22.7 | ![]() |
![]() |
![]() |
![]() |
| 1210 | 189.392349 62.292984 434.7 1023.6 (-58.3) (530.6) |
22.72 | ![]() |
![]() |
![]() |
![]() |
| 704 | 189.367935 62.315254 1133.0 956.5 (640.0) (463.5) |
22.75 | ![]() |
![]() |
![]() |
![]() |
| 1344 | 189.410599 62.289299 1477.3 1274.6 (984.3) (781.6) |
22.76 | ![]() |
![]() |
![]() |
![]() |
| 903 | 189.379074 62.305710 830.5 993.4 (337.5) (500.4) |
22.79 | ![]() |
![]() |
![]() |
![]() |
| 660 | 189.334915 62.317375 1346.5 577.7 (853.5) (84.7) |
22.81 | ![]() |
![]() |
![]() |
![]() |
| 530 | 189.387329 62.323200 1247.9 1273.5 (754.9) (780.5) |
22.82 | ![]() |
![]() |
![]() |
![]() |
| 744 | 189.399963 62.313171 925.5 1323.6 (432.5) (830.6) |
22.83 | ![]() |
![]() |
![]() |
![]() |
| 843 | 189.379410 62.308392 898.9 1025.1 (405.9) (532.1) |
22.83 | ![]() |
![]() |
![]() |
![]() |
| 771 | 189.382751 62.311504 964.2 1097.7 (471.2) (604.7) |
22.84 | ![]() |
![]() |
![]() |
![]() |
| 979 | 189.399506 62.302376 645.8 1207.1 (152.8) (714.1) |
22.85 | ![]() |
![]() |
![]() |
![]() |
| 1408 | 189.371582 62.285606 341.3 695.5 (-151.7) (202.5) |
22.88 | ![]() |
![]() |
![]() |
![]() |
| 1098 | 189.374969 62.297146 626.5 855.4 (133.5) (362.4) |
22.89 | ![]() |
![]() |
![]() |
![]() |
| 757 | 189.353806 62.312344 1124.7 755.0 (631.7) (262.0) |
22.92 | ![]() |
![]() |
![]() |
![]() |
| 645 | 189.350510 62.318043 1289.3 773.8 (796.3) (280.8) |
22.92 | ![]() |
![]() |
![]() |
![]() |
| 573 | 189.376266 62.321335 1252.1 1120.2 (759.1) (627.2) |
22.92 | ![]() |
![]() |
![]() |
![]() |
| 1020 | 189.401321 62.300751 594.6 1212.4 (101.6) (719.4) |
22.93 | ![]() |
![]() |
![]() |
![]() |
| 1007 | 189.377747 62.301266 720.8 931.6 (227.8) (438.6) |
22.93 | ![]() |
![]() |
![]() |
![]() |
| 12685 | 189.407639 62.292553 350.2 1204.8 (-142.8) (711.8) |
22.98 | ![]() |
![]() |
![]() |
![]() |
| 895 | 189.418076 62.305954 650.4 1469.4 (157.4) (976.4) |
22.99 | ![]() |
![]() |
![]() |
![]() |
| 789 | 189.344421 62.310505 1121.6 622.2 (628.6) (129.2) |
23.02 | ![]() |
![]() |
![]() |
![]() |
| 1049 | 189.382721 62.298992 637.6 968.4 (144.6) (475.4) |
23.02 | ![]() |
![]() |
![]() |
![]() |
| 766 | 189.349564 62.311909 1133.6 699.0 (640.6) (206.0) |
23.02 | ![]() |
![]() |
![]() |
![]() |
| 804 | 189.433716 62.310169 1474.1 615.7 (981.1) (122.7) |
23.06 | ![]() |
![]() |
![]() |
![]() |
| 1158 | 189.415009 62.295017 379.4 1319.6 (-113.6) (826.6) |
23.07 | ![]() |
![]() |
![]() |
![]() |
| Previous | Next | Index | RA-DEC | Zoom: On | 1 | 2 | 3 | 4 | 5 | 6 | 7 | 8 | 9 | 10 | 11 | 12 | 13 | 14 | 15 | 16 | 17 | 18 | 19 | 20 | 21 | 22 | 23 |