| Previous | Next | Index | RA-DEC | Zoom: On | 1 | 2 | 3 | 4 | 5 | 6 | 7 | 8 | 9 | 10 | 11 | 12 | 13 | 14 | 15 | 16 | 17 | 18 | 19 | 20 | 21 | 22 | 23 |
| NUMBER | Coordinates | Magnitude | Direct Image | 2D Grism Image | 1D Flux | 1D Corrected |
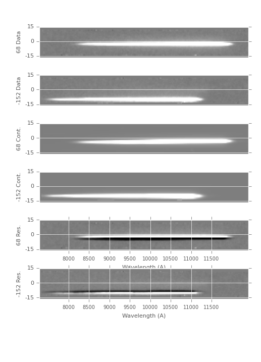
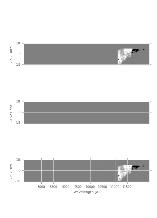
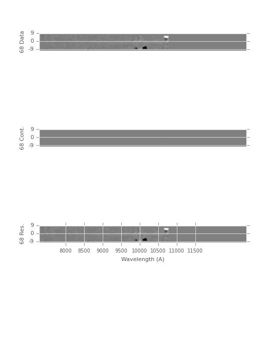
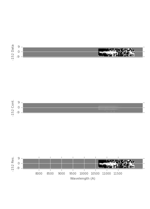
| 736 | 189.422058 62.313835 1291.8 594.7 (798.8) (101.7) |
22.31 | ![]() |
![]() |
![]() |
![]() |
| 1352 | 189.357468 62.287346 454.0 542.1 (-39.0) (49.1) |
22.31 | ![]() |
![]() |
![]() |
![]() |
| 1083 | 189.398056 62.297562 526.6 1140.0 (33.6) (647.0) |
22.39 | ![]() |
![]() |
![]() |
![]() |
| 1005 | 189.321564 62.301277 291.4 1512.4 (-201.6) (1019.4) |
22.39 | ![]() |
![]() |
![]() |
![]() |
| 927 | 189.403976 62.304020 667.1 1278.1 (174.1) (785.1) |
22.41 | ![]() |
![]() |
![]() |
![]() |
| 1285 | 189.401550 62.289841 308.3 1102.9 (-184.7) (609.9) |
22.42 | ![]() |
![]() |
![]() |
![]() |
| 782 | 189.369843 62.310909 1010.1 934.7 (517.1) (441.7) |
22.43 | ![]() |
![]() |
![]() |
![]() |
| 969 | 189.419174 62.302856 564.1 1450.7 (71.1) (957.7) |
22.47 | ![]() |
![]() |
![]() |
![]() |
| 995 | 189.341248 62.301743 513.2 1382.5 (20.2) (889.5) |
22.49 | ![]() |
![]() |
![]() |
![]() |
| 743 | 189.414581 62.313183 855.7 1500.9 (362.7) (1007.9) |
22.52 | ![]() |
![]() |
![]() |
![]() |
| 587 | 189.357513 62.320595 1321.9 884.9 (828.9) (391.9) |
22.54 | ![]() |
![]() |
![]() |
![]() |
| 456 | 189.350433 62.327526 285.9 685.1 (-207.1) (192.1) |
22.62 | ![]() |
![]() |
![]() |
![]() |
| 1420 | 189.358994 62.285236 391.6 538.8 (-101.4) (45.8) |
22.69 | ![]() |
![]() |
![]() |
![]() |
| 421 | 189.397415 62.329533 1364.7 1460.7 (871.7) (967.7) |
22.72 | ![]() |
![]() |
![]() |
![]() |
| 1211 | 189.363785 62.293079 573.5 677.6 (80.5) (184.6) |
22.78 | ![]() |
![]() |
![]() |
![]() |
| 791 | 189.343903 62.310596 1126.0 616.8 (633.0) (123.8) |
22.78 | ![]() |
![]() |
![]() |
![]() |
| 964 | 189.400024 62.302895 656.5 1218.6 (163.5) (725.6) |
22.83 | ![]() |
![]() |
![]() |
![]() |
| 799 | 189.335815 62.310440 337.8 1198.5 (-155.2) (705.5) |
22.85 | ![]() |
![]() |
![]() |
![]() |
| 841 | 189.348434 62.308449 1048.2 649.7 (555.2) (156.7) |
22.89 | ![]() |
![]() |
![]() |
![]() |
| 483 | 189.382339 62.326088 1346.8 1242.4 (853.8) (749.4) |
22.92 | ![]() |
![]() |
![]() |
![]() |
| 859 | 189.383926 62.307728 859.7 1072.9 (366.7) (579.9) |
22.94 | ![]() |
![]() |
![]() |
![]() |
| 1169 | 189.423996 62.294605 325.5 1424.6 (-167.5) (931.6) |
22.98 | ![]() |
![]() |
![]() |
![]() |
| 744 | 189.399963 62.313171 925.2 1323.4 (432.2) (830.4) |
22.99 | ![]() |
![]() |
![]() |
![]() |
| 1366 | 189.387177 62.287018 303.3 899.4 (-189.7) (406.4) |
23.0 | ![]() |
![]() |
![]() |
![]() |
| 704 | 189.367935 62.315254 1132.6 956.3 (639.6) (463.3) |
23.02 | ![]() |
![]() |
![]() |
![]() |
| 1210 | 189.392349 62.292984 434.4 1023.5 (-58.6) (530.5) |
23.03 | ![]() |
![]() |
![]() |
![]() |
| 660 | 189.334915 62.317375 1346.0 577.6 (853.0) (84.6) |
23.05 | ![]() |
![]() |
![]() |
![]() |
| 1408 | 189.371582 62.285606 341.0 695.5 (-152.0) (202.5) |
23.06 | ![]() |
![]() |
![]() |
![]() |
| 447 | 189.392868 62.326801 1315.0 1377.5 (822.0) (884.5) |
23.06 | ![]() |
![]() |
![]() |
![]() |
| 771 | 189.382751 62.311504 963.8 1097.6 (470.8) (604.6) |
23.07 | ![]() |
![]() |
![]() |
![]() |
| 843 | 189.379410 62.308392 898.5 1024.9 (405.5) (531.9) |
23.08 | ![]() |
![]() |
![]() |
![]() |
| 1344 | 189.410599 62.289299 1477.3 1274.6 (984.3) (781.6) |
23.1 | ![]() |
![]() |
![]() |
![]() |
| 757 | 189.353806 62.312344 1124.2 755.0 (631.2) (262.0) |
23.14 | ![]() |
![]() |
![]() |
![]() |
| 530 | 189.387329 62.323200 1247.5 1273.3 (754.5) (780.3) |
23.18 | ![]() |
![]() |
![]() |
![]() |
| 645 | 189.350510 62.318043 1288.7 773.7 (795.7) (280.7) |
23.18 | ![]() |
![]() |
![]() |
![]() |
| 895 | 189.418076 62.305954 650.1 1469.2 (157.1) (976.2) |
23.21 | ![]() |
![]() |
![]() |
![]() |
| 1020 | 189.401321 62.300751 594.3 1212.3 (101.3) (719.3) |
23.22 | ![]() |
![]() |
![]() |
![]() |
| 769 | 189.381577 62.311573 971.3 1083.8 (478.3) (590.8) |
23.26 | ![]() |
![]() |
![]() |
![]() |
| 903 | 189.379074 62.305710 830.1 993.3 (337.1) (500.3) |
23.27 | ![]() |
![]() |
![]() |
![]() |
| 1049 | 189.382721 62.298992 637.3 968.4 (144.3) (475.4) |
23.31 | ![]() |
![]() |
![]() |
![]() |
| 802 | 189.331985 62.310364 294.6 1223.5 (-198.4) (730.5) |
23.32 | ![]() |
![]() |
![]() |
![]() |
| 747 | 189.404724 62.312935 896.2 1378.9 (403.2) (885.9) |
23.33 | ![]() |
![]() |
![]() |
![]() |
| 489 | 189.390320 62.325760 1300.0 1335.8 (807.0) (842.8) |
23.35 | ![]() |
![]() |
![]() |
![]() |
| 804 | 189.433716 62.310169 1474.1 615.7 (981.1) (122.7) |
23.4 | ![]() |
![]() |
![]() |
![]() |
| 396 | 189.398758 62.330948 1395.3 1491.5 (902.3) (998.5) |
23.41 | ![]() |
![]() |
![]() |
![]() |
| 664 | 189.337143 62.317039 1326.5 601.1 (833.5) (108.1) |
23.45 | ![]() |
![]() |
![]() |
![]() |
| 860 | 189.371384 62.307846 922.7 922.0 (429.7) (429.0) |
23.5 | ![]() |
![]() |
![]() |
![]() |
| 766 | 189.349564 62.311909 1133.1 698.9 (640.1) (205.9) |
23.5 | ![]() |
![]() |
![]() |
![]() |
| 624 | 189.390213 62.319218 1129.7 1267.3 (636.7) (774.3) |
23.52 | ![]() |
![]() |
![]() |
![]() |
| 770 | 189.414307 62.311565 814.8 1481.1 (321.8) (988.1) |
23.57 | ![]() |
![]() |
![]() |
![]() |
| Previous | Next | Index | RA-DEC | Zoom: On | 1 | 2 | 3 | 4 | 5 | 6 | 7 | 8 | 9 | 10 | 11 | 12 | 13 | 14 | 15 | 16 | 17 | 18 | 19 | 20 | 21 | 22 | 23 |