| Previous | Next | Index | RA-DEC | Zoom: Off | 1 | 2 | 3 | 4 | 5 | 6 | 7 | 8 | 9 | 10 | 11 | 12 | 13 | 14 | 15 | 16 | 17 | 18 | 19 | 20 | 21 |
| NUMBER | Coordinates | Magnitude | Direct Image | 2D Grism Image | 1D Flux | 1D Corr. Combined |
| 1790 | 325.595288 -44.322181 813.8 1001.1 (320.8) (508.1) |
25.627 | ![]() |
![]() |
![]() |
![]() |
| 2104 | 325.603570 -44.316829 737.4 959.8 (244.4) (466.8) |
25.6272 | ![]() |
![]() |
![]() |
![]() |
| 998 | 325.593406 -44.336223 1165.7 1353.0 (672.7) (860.0) |
25.6355 | ![]() |
![]() |
![]() |
![]() |
| 2469 | 325.602591 -44.310030 553.1 906.5 (60.1) (413.5) |
25.6409 | ![]() |
![]() |
![]() |
![]() |
| 2070 | 325.571868 -44.317245 363.9 1334.1 (-129.1) (841.1) |
25.6457 | ![]() |
![]() |
![]() |
![]() |
| 1619 | 325.625100 -44.325091 1373.2 772.6 (880.2) (279.6) |
25.6695 | ![]() |
![]() |
![]() |
![]() |
| 2165 | 325.605471 -44.315302 712.0 908.3 (219.0) (415.3) |
25.6754 | ![]() |
![]() |
![]() |
![]() |
| 1380 | 325.624438 -44.329314 1219.4 702.6 (726.4) (209.6) |
25.6758 | ![]() |
![]() |
![]() |
![]() |
| 682 | 325.593028 -44.342860 1335.6 1429.8 (842.6) (936.8) |
25.6939 | ![]() |
![]() |
![]() |
![]() |
| 1365 | 325.591286 -44.329555 847.7 1220.6 (354.7) (727.6) |
25.7072 | ![]() |
![]() |
![]() |
![]() |
| 1759 | 325.627894 -44.322793 1075.7 569.7 (582.7) (76.7) |
25.7141 | ![]() |
![]() |
![]() |
![]() |
| 2145 | 325.580009 -44.315881 459.6 1001.5 (-33.4) (508.5) |
25.7204 | ![]() |
![]() |
![]() |
![]() |
| 2401 | 325.605455 -44.311124 835.4 630.2 (342.4) (137.2) |
25.722 | ![]() |
![]() |
![]() |
![]() |
| 1222 | 325.633439 -44.332062 1358.7 564.0 (865.7) (71.0) |
25.7347 | ![]() |
![]() |
![]() |
![]() |
| 1882 | 325.599806 -44.320762 811.5 1071.2 (318.5) (578.2) |
25.7441 | ![]() |
![]() |
![]() |
![]() |
| 1034 | 325.610865 -44.335890 1288.4 1024.5 (795.4) (531.5) |
25.766 | ![]() |
![]() |
![]() |
![]() |
| 1146 | 325.631358 -44.333728 1386.4 620.3 (893.4) (127.3) |
25.7683 | ![]() |
![]() |
![]() |
![]() |
| 2284 | 325.579602 -44.313396 467.8 1370.0 (-25.2) (877.0) |
25.771 | ![]() |
![]() |
![]() |
![]() |
| 1805 | 325.620577 -44.321958 998.9 697.1 (505.9) (204.1) |
25.7818 | ![]() |
![]() |
![]() |
![]() |
| 848 | 325.616177 -44.339389 1419.4 962.4 (926.4) (469.4) |
25.7833 | ![]() |
![]() |
![]() |
![]() |
| 1459 | 325.571910 -44.328136 490.8 1380.7 (-2.2) (887.7) |
25.7917 | ![]() |
![]() |
![]() |
![]() |
| 2323 | 325.600893 -44.312582 606.8 965.0 (113.8) (472.0) |
25.7955 | ![]() |
![]() |
![]() |
![]() |
| 2047 | 325.612456 -44.317694 826.8 803.4 (333.8) (310.4) |
25.7983 | ![]() |
![]() |
![]() |
![]() |
| 1528 | 325.617154 -44.326706 1096.7 810.8 (603.7) (317.8) |
25.8029 | ![]() |
![]() |
![]() |
![]() |
| 1747 | 325.572447 -44.323085 429.2 1252.6 (-63.8) (759.6) |
25.8145 | ![]() |
![]() |
![]() |
![]() |
| 2793 | 325.610287 -44.303074 430.0 690.0 (-63.0) (197.0) |
25.8172 | ![]() |
![]() |
![]() |
![]() |
| 2322 | 325.603559 -44.312507 624.9 914.5 (131.9) (421.5) |
25.8215 | ![]() |
![]() |
![]() |
![]() |
| 2478 | 325.601651 -44.309789 539.8 921.5 (46.8) (428.5) |
25.823 | ![]() |
![]() |
![]() |
![]() |
| 1492 | 325.590409 -44.327464 822.9 1233.1 (329.9) (740.1) |
25.8241 | ![]() |
![]() |
![]() |
![]() |
| 2185 | 325.575454 -44.315070 480.2 1464.9 (-12.8) (971.9) |
25.8246 | ![]() |
![]() |
![]() |
![]() |
| 1187 | 325.632843 -44.332760 1372.3 582.5 (879.3) (89.5) |
25.8336 | ![]() |
![]() |
![]() |
![]() |
| 1019 | 325.578622 -44.336154 720.1 1508.2 (227.1) (1015.2) |
25.8358 | ![]() |
![]() |
![]() |
![]() |
| 1198 | 325.602501 -44.332798 1145.0 1147.6 (652.0) (654.6) |
25.8529 | ![]() |
![]() |
![]() |
![]() |
| 1272 | 325.612798 -44.331023 1242.4 1040.3 (749.4) (547.3) |
25.8551 | ![]() |
![]() |
![]() |
![]() |
| 2575 | 325.594691 -44.308138 444.4 1033.7 (-48.6) (540.7) |
25.8654 | ![]() |
![]() |
![]() |
![]() |
| 3261 | 325.600124 -44.299485 346.7 578.9 (-146.3) (85.9) |
25.868 | ![]() |
![]() |
![]() |
![]() |
| 1971 | 325.619651 -44.319165 919.3 684.9 (426.3) (191.9) |
25.8732 | ![]() |
![]() |
![]() |
![]() |
| 1485 | 325.618756 -44.327580 1297.7 896.8 (804.7) (403.8) |
25.885 | ![]() |
![]() |
![]() |
![]() |
| 736 | 325.599881 -44.341476 1351.1 1287.7 (858.1) (794.7) |
25.8866 | ![]() |
![]() |
![]() |
![]() |
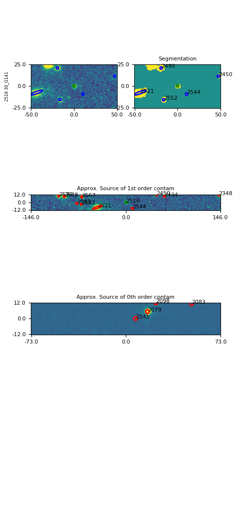
| 2516 | 325.610110 -44.309131 586.3 757.0 (93.3) (264.0) |
25.894 | ![]() |
![]() |
![]() |
![]() |
| 1766 | 325.583045 -44.322480 730.1 1401.4 (237.1) (908.4) |
25.8979 | ![]() |
![]() |
![]() |
![]() |
| 1694 | 325.577149 -44.323760 520.5 1221.7 (27.5) (728.7) |
25.9043 | ![]() |
![]() |
![]() |
![]() |
| 2386 | 325.579662 -44.311467 418.0 1348.6 (-75.0) (855.6) |
25.9158 | ![]() |
![]() |
![]() |
![]() |
| 1597 | 325.578480 -44.325591 569.3 1252.9 (76.3) (759.9) |
25.9178 | ![]() |
![]() |
![]() |
![]() |
| 2117 | 325.586566 -44.316377 580.6 947.7 (87.6) (454.7) |
25.9189 | ![]() |
![]() |
![]() |
![]() |
| 2040 | 325.575758 -44.317988 558.4 1489.9 (65.4) (996.9) |
25.9193 | ![]() |
![]() |
![]() |
![]() |
| 1281 | 325.601802 -44.330989 1092.6 1141.6 (599.6) (648.6) |
25.9344 | ![]() |
![]() |
![]() |
![]() |
| 1056 | 325.605073 -44.335613 1237.6 1129.4 (744.6) (636.4) |
25.9346 | ![]() |
![]() |
![]() |
![]() |
| 2645 | 325.591567 -44.306527 379.0 1075.0 (-114.0) (582.0) |
25.9355 | ![]() |
![]() |
![]() |
![]() |
| 1537 | 325.593363 -44.326423 839.8 1123.6 (346.8) (630.6) |
25.9433 | ![]() |
![]() |
![]() |
![]() |
| Previous | Next | Index | RA-DEC | Zoom: Off | 1 | 2 | 3 | 4 | 5 | 6 | 7 | 8 | 9 | 10 | 11 | 12 | 13 | 14 | 15 | 16 | 17 | 18 | 19 | 20 | 21 |