| Previous | Next | Index | RA-DEC | Zoom: On | 1 | 2 | 3 | 4 | 5 | 6 | 7 | 8 | 9 | 10 | 11 | 12 | 13 | 14 | 15 | 16 | 17 | 18 | 19 | 20 | 21 | 22 | 23 | 24 | 25 | 26 | 27 | 28 | 29 | 30 |
| NUMBER | Coordinates | Magnitude | Direct Image | 2D Grism Image | 1D Flux | Flux Combined |
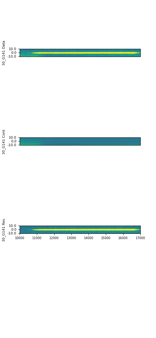
| 1185 | 325.598296 -44.332470 1010.5 1221.1 (517.5) (728.1) |
21.184 | ![]() |
![]() |
![]() |
![]() |
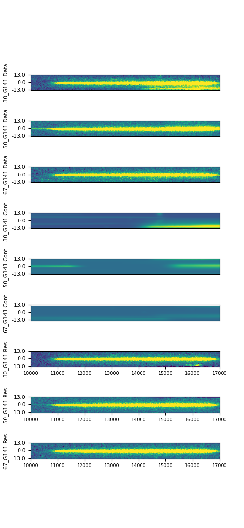
| 2369 | 325.597595 -44.310815 694.3 701.7 (201.3) (208.7) |
21.1957 | ![]() |
![]() |
![]() |
![]() |
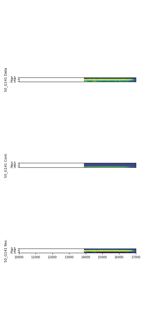
| 2019 | 325.628194 -44.317648 1322.6 560.6 (829.6) (67.6) |
21.1991 | ![]() |
![]() |
![]() |
![]() |
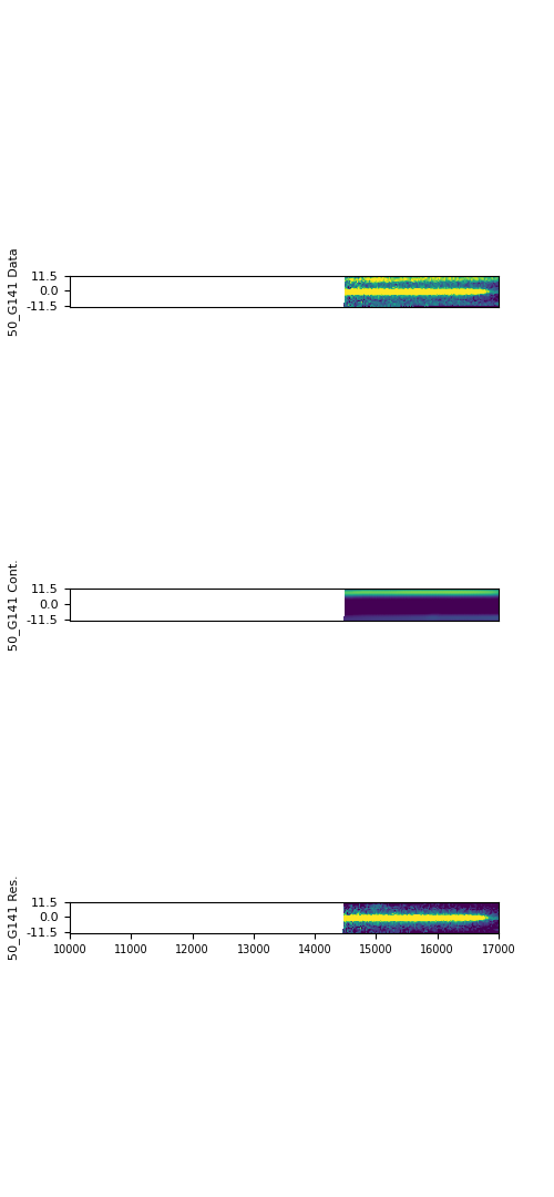
| 1216 | 325.579120 -44.331409 662.2 1387.9 (169.2) (894.9) |
21.3686 | ![]() |
![]() |
![]() |
![]() |
| 2031 | 325.622871 -44.315016 1193.0 550.0 (700.0) (57.0) |
21.3744 | ![]() |
![]() |
![]() |
![]() |
| 737 | 325.608058 -44.340626 1294.7 1321.3 (801.7) (828.3) |
21.3968 | ![]() |
![]() |
![]() |
![]() |
| 1689 | 325.631226 -44.322973 1450.0 659.6 (957.0) (166.6) |
21.404 | ![]() |
![]() |
![]() |
![]() |
| 2179 | 325.594817 -44.313624 685.5 797.8 (192.5) (304.8) |
21.4046 | ![]() |
![]() |
![]() |
![]() |
| 2099 | 325.627495 -44.316524 1294.6 540.2 (801.6) (47.2) |
21.4163 | ![]() |
![]() |
![]() |
![]() |
| 2218 | 325.603494 -44.313202 830.5 700.4 (337.5) (207.4) |
21.4439 | ![]() |
![]() |
![]() |
![]() |
| 2015 | 325.570772 -44.317263 350.1 1351.3 (-142.9) (858.3) |
21.4455 | ![]() |
![]() |
![]() |
![]() |
| 2716 | 325.587745 -44.305029 441.8 660.0 (-51.2) (167.0) |
21.4641 | ![]() |
![]() |
![]() |
![]() |
| 2093 | 325.593411 -44.316180 696.9 874.1 (203.9) (381.1) |
21.5719 | ![]() |
![]() |
![]() |
![]() |
| 20871 | 325.614010 -44.323828 1162.5 853.2 (669.5) (360.2) |
21.5818 | ![]() |
![]() |
![]() |
![]() |
| 910 | 325.609165 -44.337234 1266.4 1227.8 (773.4) (734.8) |
21.5935 | ![]() |
![]() |
![]() |
![]() |
| 2732 | 325.605547 -44.304084 515.6 578.4 (22.6) (85.4) |
21.608 | ![]() |
![]() |
![]() |
![]() |
| 2040 | 325.615580 -44.316992 1093.9 671.2 (600.9) (178.2) |
21.6856 | ![]() |
![]() |
![]() |
![]() |
| 1132 | 325.613192 -44.333556 1284.8 1097.9 (791.8) (604.9) |
21.6994 | ![]() |
![]() |
![]() |
![]() |
| 2850 | 325.614568 -44.301039 409.3 588.9 (-83.7) (95.9) |
21.7424 | ![]() |
![]() |
![]() |
![]() |
| 1402 | 325.618585 -44.328464 1307.2 920.0 (814.2) (427.0) |
21.7657 | ![]() |
![]() |
![]() |
![]() |
| 2008 | 325.587564 -44.317567 614.7 966.6 (121.7) (473.6) |
21.81 | ![]() |
![]() |
![]() |
![]() |
| 1800 | 325.605810 -44.320255 969.7 848.6 (476.7) (355.6) |
21.8415 | ![]() |
![]() |
![]() |
![]() |
| 774 | 325.611155 -44.340233 1343.1 1280.7 (850.1) (787.7) |
21.8448 | ![]() |
![]() |
![]() |
![]() |
| 1371 | 325.563356 -44.329168 356.6 1491.8 (-136.4) (998.8) |
21.9463 | ![]() |
![]() |
![]() |
![]() |
| 501 | 325.595703 -44.344935 1267.0 1466.9 (774.0) (973.9) |
21.9504 | ![]() |
![]() |
![]() |
![]() |
| 1536 | 325.587183 -44.325668 721.8 1167.3 (228.8) (674.3) |
21.9869 | ![]() |
![]() |
![]() |
![]() |
| 2136 | 325.611605 -44.315480 1003.5 674.4 (510.5) (181.4) |
21.9965 | ![]() |
![]() |
![]() |
![]() |
| 2143 | 325.598224 -44.314745 760.4 790.9 (267.4) (297.9) |
22.0001 | ![]() |
![]() |
![]() |
![]() |
| 2459 | 325.608127 -44.309366 857.2 560.6 (364.2) (67.6) |
22.0505 | ![]() |
![]() |
![]() |
![]() |
| 2115 | 325.614834 -44.315893 1065.5 652.0 (572.5) (159.0) |
22.0619 | ![]() |
![]() |
![]() |
![]() |
| 1262 | 325.593604 -44.330688 903.9 1224.9 (410.9) (731.9) |
22.0804 | ![]() |
![]() |
![]() |
![]() |
| 1556 | 325.592110 -44.325998 812.1 1125.9 (319.1) (632.9) |
22.083 | ![]() |
![]() |
![]() |
![]() |
| 2696 | 325.606901 -44.305131 555.6 576.4 (62.6) (83.4) |
22.0879 | ![]() |
![]() |
![]() |
![]() |
| 2145 | 325.585067 -44.315673 544.6 945.6 (51.6) (452.6) |
22.0932 | ![]() |
![]() |
![]() |
![]() |
| 1517 | 325.626083 -44.326803 1414.3 804.4 (921.3) (311.4) |
22.1035 | ![]() |
![]() |
![]() |
![]() |
| 1626 | 325.588209 -44.324720 726.3 1134.0 (233.3) (641.0) |
22.1422 | ![]() |
![]() |
![]() |
![]() |
| 2035 | 325.570626 -44.317946 363.0 1365.8 (-130.0) (872.8) |
22.1474 | ![]() |
![]() |
![]() |
![]() |
| 1165 | 325.577380 -44.333299 658.5 1451.3 (165.5) (958.3) |
22.181 | ![]() |
![]() |
![]() |
![]() |
| 2168 | 325.580591 -44.314747 453.8 968.1 (-39.2) (475.1) |
22.1854 | ![]() |
![]() |
![]() |
![]() |
| 1658 | 325.624782 -44.323938 1351.4 747.7 (858.4) (254.7) |
22.186 | ![]() |
![]() |
![]() |
![]() |
| 2569 | 325.593190 -44.307892 576.7 674.8 (83.7) (181.8) |
22.1883 | ![]() |
![]() |
![]() |
![]() |
| 2560 | 325.579362 -44.308380 343.0 825.6 (-150.0) (332.6) |
22.2035 | ![]() |
![]() |
![]() |
![]() |
| 907 | 325.624390 -44.338056 1446.5 795.5 (953.5) (302.5) |
22.2197 | ![]() |
![]() |
![]() |
![]() |
| 1219 | 325.612947 -44.331767 1255.4 1056.9 (762.4) (563.9) |
22.2251 | ![]() |
![]() |
![]() |
![]() |
| 1894 | 325.608831 -44.319910 1017.5 809.9 (524.5) (316.9) |
22.2255 | ![]() |
![]() |
![]() |
![]() |
| 1388 | 325.589087 -44.328931 800.7 1227.5 (307.7) (734.5) |
22.2282 | ![]() |
![]() |
![]() |
![]() |
| 1311 | 325.609634 -44.329266 1162.7 1029.3 (669.7) (536.3) |
22.2492 | ![]() |
![]() |
![]() |
![]() |
| 1714 | 325.604270 -44.322912 980.3 928.7 (487.3) (435.7) |
22.2517 | ![]() |
![]() |
![]() |
![]() |
| 2443 | 325.583541 -44.310144 440.5 826.5 (-52.5) (333.5) |
22.2993 | ![]() |
![]() |
![]() |
![]() |
| 794 | 325.605378 -44.339947 1238.6 1331.7 (745.6) (838.7) |
22.3014 | ![]() |
![]() |
![]() |
![]() |
| Previous | Next | Index | RA-DEC | Zoom: On | 1 | 2 | 3 | 4 | 5 | 6 | 7 | 8 | 9 | 10 | 11 | 12 | 13 | 14 | 15 | 16 | 17 | 18 | 19 | 20 | 21 | 22 | 23 | 24 | 25 | 26 | 27 | 28 | 29 | 30 |