| Previous | Next | Index | RA-DEC | Zoom: On | 1 | 2 | 3 | 4 | 5 | 6 | 7 | 8 | 9 | 10 | 11 | 12 | 13 | 14 | 15 | 16 | 17 | 18 | 19 | 20 | 21 | 22 | 23 | 24 | 25 | 26 | 27 | 28 | 29 | 30 |
| NUMBER | Coordinates | Magnitude | Direct Image | 2D Grism Image | 1D Flux | Flux Combined |
| 1830 | 325.580038 -44.322259 549.6 1156.2 (56.6) (663.2) |
28.2112 | ![]() |
![]() |
![]() |
![]() |
| 1016 | 325.619901 -44.336794 1446.9 1109.3 (953.9) (616.3) |
28.2138 | ![]() |
![]() |
![]() |
![]() |
| 1489 | 325.581468 -44.328317 659.6 1289.1 (166.6) (796.1) |
28.2148 | ![]() |
![]() |
![]() |
![]() |
| 1546 | 325.597023 -44.327012 911.8 1101.2 (418.8) (608.2) |
28.2301 | ![]() |
![]() |
![]() |
![]() |
| 2217 | 325.608011 -44.315108 935.8 701.4 (442.8) (208.4) |
28.2328 | ![]() |
![]() |
![]() |
![]() |
| 1933 | 325.579891 -44.320549 523.1 1116.1 (30.1) (623.1) |
28.2455 | ![]() |
![]() |
![]() |
![]() |
| 1359 | 325.582652 -44.330540 711.4 1331.3 (218.4) (838.3) |
28.249 | ![]() |
![]() |
![]() |
![]() |
| 821 | 325.604732 -44.340687 1237.8 1356.2 (744.8) (863.2) |
28.2536 | ![]() |
![]() |
![]() |
![]() |
| 2386 | 325.610566 -44.312140 938.6 603.6 (445.6) (110.6) |
28.2576 | ![]() |
![]() |
![]() |
![]() |
| 2680 | 325.595371 -44.306565 596.0 620.7 (103.0) (127.7) |
28.2633 | ![]() |
![]() |
![]() |
![]() |
| 674 | 325.601876 -44.343544 1228.2 1454.3 (735.2) (961.3) |
28.2642 | ![]() |
![]() |
![]() |
![]() |
| 20851 | 325.596149 -44.325180 870.8 1065.4 (377.8) (572.4) |
28.2643 | ![]() |
![]() |
![]() |
![]() |
| 1286 | 325.615650 -44.331923 1304.6 1033.6 (811.6) (540.6) |
28.2664 | ![]() |
![]() |
![]() |
![]() |
| 1811 | 325.615704 -44.322661 1175.6 807.8 (682.6) (314.8) |
28.2665 | ![]() |
![]() |
![]() |
![]() |
| 2551 | 325.597844 -44.309361 678.3 663.8 (185.3) (170.8) |
28.2742 | ![]() |
![]() |
![]() |
![]() |
| 697 | 325.607220 -44.343237 1316.8 1393.2 (823.8) (900.2) |
28.2807 | ![]() |
![]() |
![]() |
![]() |
| 2636 | 325.590641 -44.307472 526.4 690.2 (33.4) (197.2) |
28.2897 | ![]() |
![]() |
![]() |
![]() |
| 1323 | 325.619345 -44.331160 1358.2 977.9 (865.2) (484.9) |
28.2904 | ![]() |
![]() |
![]() |
![]() |
| 1272 | 325.624683 -44.332138 1464.8 948.1 (971.8) (455.1) |
28.2916 | ![]() |
![]() |
![]() |
![]() |
| 1139 | 325.604069 -44.334718 1142.5 1217.8 (649.5) (724.8) |
28.2954 | ![]() |
![]() |
![]() |
![]() |
| 1384 | 325.611250 -44.330039 1201.7 1031.9 (708.7) (538.9) |
28.2979 | ![]() |
![]() |
![]() |
![]() |
| 1544 | 325.596623 -44.327128 906.4 1108.0 (413.4) (615.0) |
28.2985 | ![]() |
![]() |
![]() |
![]() |
| 1836 | 325.577552 -44.322186 505.4 1179.4 (12.4) (686.4) |
28.303 | ![]() |
![]() |
![]() |
![]() |
| 2674 | 325.616111 -44.306721 568.8 619.9 (75.8) (126.9) |
28.3031 | ![]() |
![]() |
![]() |
![]() |
| 1644 | 325.597314 -44.325413 894.4 1059.4 (401.4) (566.4) |
28.3035 | ![]() |
![]() |
![]() |
![]() |
| 2404 | 325.601776 -44.311813 781.1 683.9 (288.1) (190.9) |
28.3078 | ![]() |
![]() |
![]() |
![]() |
| 1218 | 325.621653 -44.333172 1426.6 1003.7 (933.6) (510.7) |
28.3164 | ![]() |
![]() |
![]() |
![]() |
| 2289 | 325.605420 -44.313873 873.4 697.4 (380.4) (204.4) |
28.3204 | ![]() |
![]() |
![]() |
![]() |
| 2413 | 325.598686 -44.311611 724.5 710.1 (231.5) (217.1) |
28.3253 | ![]() |
![]() |
![]() |
![]() |
| 2265 | 325.601754 -44.314277 815.3 744.0 (322.3) (251.0) |
28.3261 | ![]() |
![]() |
![]() |
![]() |
| 2398 | 325.612930 -44.311910 976.5 574.3 (483.5) (81.3) |
28.3281 | ![]() |
![]() |
![]() |
![]() |
| 806 | 325.617287 -44.341010 1460.6 1238.1 (967.6) (745.1) |
28.3366 | ![]() |
![]() |
![]() |
![]() |
| 1784 | 325.588615 -44.323105 710.7 1090.6 (217.7) (597.6) |
28.3376 | ![]() |
![]() |
![]() |
![]() |
| 1612 | 325.602735 -44.326026 997.3 1019.8 (504.3) (526.8) |
28.3394 | ![]() |
![]() |
![]() |
![]() |
| 2072 | 325.616774 -44.317894 1127.3 681.2 (634.3) (188.2) |
28.3394 | ![]() |
![]() |
![]() |
![]() |
| 1997 | 325.600241 -44.319126 857.0 877.1 (364.0) (384.1) |
28.3436 | ![]() |
![]() |
![]() |
![]() |
| 1913 | 325.621627 -44.320940 1254.5 706.5 (761.5) (213.5) |
28.345 | ![]() |
![]() |
![]() |
![]() |
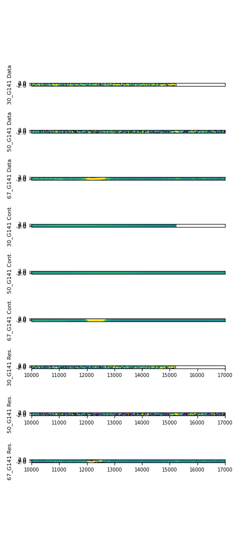
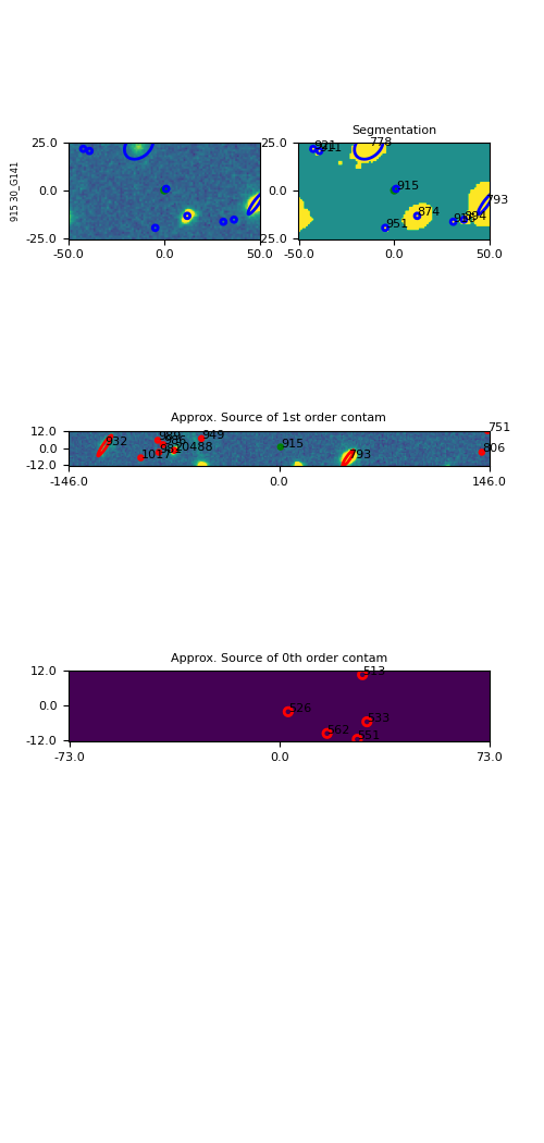
| 915 | 325.611171 -44.338638 1321.0 1241.8 (828.0) (748.8) |
28.3501 | ![]() |
![]() |
![]() |
![]() |
| 1845 | 325.601800 -44.322055 925.3 932.7 (432.3) (439.7) |
28.3567 | ![]() |
![]() |
![]() |
![]() |
| 991 | 325.603758 -44.337299 1173.3 1283.6 (680.3) (790.6) |
28.3648 | ![]() |
![]() |
![]() |
![]() |
| 783 | 325.595038 -44.341452 1079.9 1472.1 (586.9) (979.1) |
28.3695 | ![]() |
![]() |
![]() |
![]() |
| 1771 | 325.610927 -44.323300 1101.5 871.3 (608.5) (378.3) |
28.385 | ![]() |
![]() |
![]() |
![]() |
| 2101 | 325.614964 -44.317372 1088.5 686.7 (595.5) (193.7) |
28.387 | ![]() |
![]() |
![]() |
![]() |
| 1697 | 325.610167 -44.324690 1107.8 912.7 (614.8) (419.7) |
28.3991 | ![]() |
![]() |
![]() |
![]() |
| 1725 | 325.610199 -44.324010 1098.8 895.9 (605.8) (402.9) |
28.4068 | ![]() |
![]() |
![]() |
![]() |
| 1348 | 325.627658 -44.330787 1375.2 720.2 (882.2) (227.2) |
28.4107 | ![]() |
![]() |
![]() |
![]() |
| 1977 | 325.582139 -44.319658 549.7 1071.9 (56.7) (578.9) |
28.4201 | ![]() |
![]() |
![]() |
![]() |
| 1899 | 325.588092 -44.321149 674.1 1048.3 (181.1) (555.3) |
28.4244 | ![]() |
![]() |
![]() |
![]() |
| 1198 | 325.601856 -44.333521 1087.2 1210.9 (594.2) (717.9) |
28.4332 | ![]() |
![]() |
![]() |
![]() |
| 1499 | 325.593745 -44.328171 871.0 1162.3 (378.0) (669.3) |
28.4376 | ![]() |
![]() |
![]() |
![]() |
| Previous | Next | Index | RA-DEC | Zoom: On | 1 | 2 | 3 | 4 | 5 | 6 | 7 | 8 | 9 | 10 | 11 | 12 | 13 | 14 | 15 | 16 | 17 | 18 | 19 | 20 | 21 | 22 | 23 | 24 | 25 | 26 | 27 | 28 | 29 | 30 |