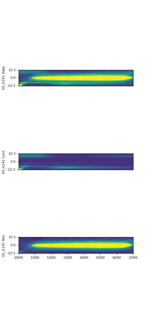
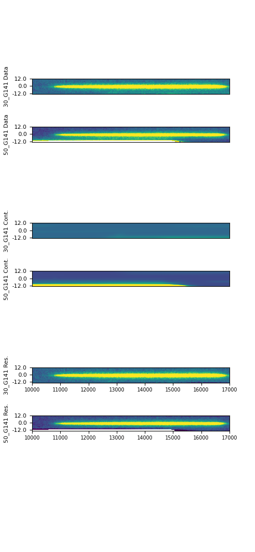
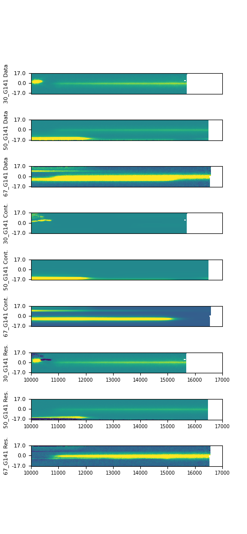
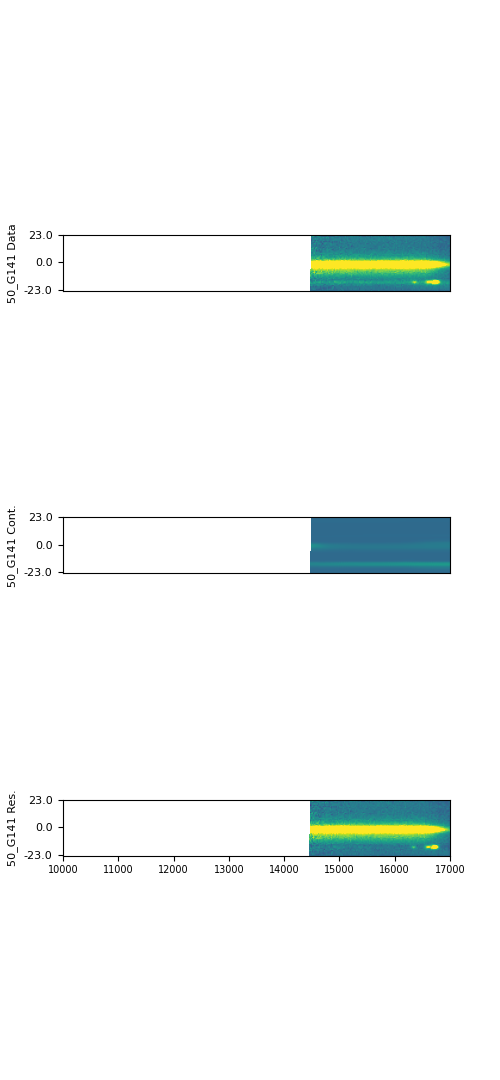
MU1_9.303 - Page 1 of 30

PreviousNextIndexRA-DECZoom: On123456789101112131415161718192021222324252627282930
NUMBER Coordinates Magnitude Direct Image 2D Grism Image 1D Flux Flux Combined
20307 325.586860 -44.341777

1085.0 1545.9

(592.0) (1052.9)
15.388222
20709 325.585438 -44.319709

607.7 1040.0

(114.7) (547.0)
16.4998
20644 325.634249 -44.329400

1430.5 593.8

(937.5) (100.8)
16.907672
20405 325.607440 -44.338427

1253.1 1274.1

(760.1) (781.1)
17.2948
20493 325.614278 -44.334730

1320.2 1115.6

(827.2) (622.6)
17.7709
20621 325.572291 -44.331045

538.3 1447.6

(45.3) (954.6)
18.2001
20380 325.603375 -44.339262

1194.2 1335.2

(701.2) (842.2)
18.4306
20759 325.596038 -44.325950

879.7 1085.2

(386.7) (592.2)
18.4914
20723 325.610950 -44.327474

1160.5 972.6

(667.5) (479.6)
18.5536
20155 325.604692 -44.347305

1330.0 1517.5

(837.0) (1024.5)
18.8122
21056 325.588691 -44.316027

612.6 917.8

(119.6) (424.8)
18.8965
20506 325.633707 -44.335169

1441.6 591.7

(948.6) (98.7)
18.9202
2848 325.602095 -44.299741

377.6 553.2

(-115.4) (60.2)
19.0714
20557 325.617236 -44.333574

1355.4 1057.8

(862.4) (564.8)
19.1459
586 325.593949 -44.341551

1062.4 1485.5

(569.4) (992.5)
19.2692
2291 325.620003 -44.311256

716.1 595.2

(223.1) (102.2)
19.3644
1983 325.594317 -44.317131

726.0 888.1

(233.0) (395.1)
19.4294
1332 325.577594 -44.328401

593.4 1330.1

(100.4) (837.1)
19.4353
2790 325.605822 -44.301773

469.5 532.5

(-23.5) (39.5)
19.5185
2210 325.610062 -44.312819

939.4 625.2

(446.4) (132.2)
19.5275
334 325.600006 -44.347711

1382.2 1450.8

(889.2) (957.8)
19.6089
2315 325.621435 -44.311019

720.7 566.0

(227.7) (73.0)
19.6526
2003 325.605583 -44.316890

918.6 769.1

(425.6) (276.1)
19.6831
2813 325.601707 -44.301354

407.3 588.2

(-85.7) (95.2)
19.7993
2758 325.595716 -44.302374

351.9 698.8

(-141.1) (205.8)
19.8067
1246 325.606396 -44.330061

1117.6 1081.2

(624.6) (588.2)
19.8173
1535 325.592376 -44.324956

802.1 1097.8

(309.1) (604.8)
20.0371
802 325.617318 -44.338104

1420.4 1167.1

(927.4) (674.1)
20.3063
808 325.605389 -44.338624

1220.2 1299.5

(727.2) (806.5)
20.3453
2747 325.599252 -44.303518

422.1 665.0

(-70.9) (172.0)
20.3604
1930 325.591845 -44.318248

698.7 940.1

(205.7) (447.1)
20.3681
2888 325.612278 -44.299515

352.4 615.5

(-140.6) (122.5)
20.3884
1741 325.607065 -44.320640

997.0 845.4

(504.0) (352.4)
20.4171
770 325.605656 -44.339529

1237.6 1318.8

(744.6) (825.8)
20.4242
902 325.616805 -44.336770

1392.7 1139.8

(899.7) (646.8)
20.4983
764 325.592263 -44.340281

1015.3 1471.5

(522.3) (978.5)
20.5223
21182 325.597887 -44.313151

732.2 755.5

(239.2) (262.5)
20.5565
1934 325.596098 -44.318446

775.4 902.2

(282.4) (409.2)
20.5656
20471 325.607833 -44.337974

1253.6 1259.1

(760.6) (766.1)
20.6547
1506 325.607149 -44.326325

1078.2 982.8

(585.2) (489.8)
20.6639
2208 325.622699 -44.313329

790.3 566.8

(297.3) (73.8)
20.7565
2282 325.584414 -44.312415

487.5 873.0

(-5.5) (380.0)
20.7883
1314 325.578415 -44.329728

626.3 1354.1

(133.3) (861.1)
20.8034
2867 325.601275 -44.300128

375.4 572.8

(-117.6) (79.8)
20.8085
498 325.591383 -44.345526

1392.6 1488.4

(899.6) (995.4)
20.9984
1331 325.621671 -44.329700

1378.2 919.1

(885.2) (426.1)
21.0544
793 325.613389 -44.339234

1367.9 1234.0

(874.9) (741.0)
21.0602
1877 325.621804 -44.319663

1239.7 673.7

(746.7) (180.7)
21.0789
2268 325.622771 -44.313201

787.6 564.1

(294.6) (71.1)
21.1091
1804 325.595133 -44.321355

799.5 982.6

(306.5) (489.6)
21.1823
PreviousNextIndexRA-DECZoom: On123456789101112131415161718192021222324252627282930